Seven Dimensions ABA, LLC Products Page
Product 1: ABA SnapGraph
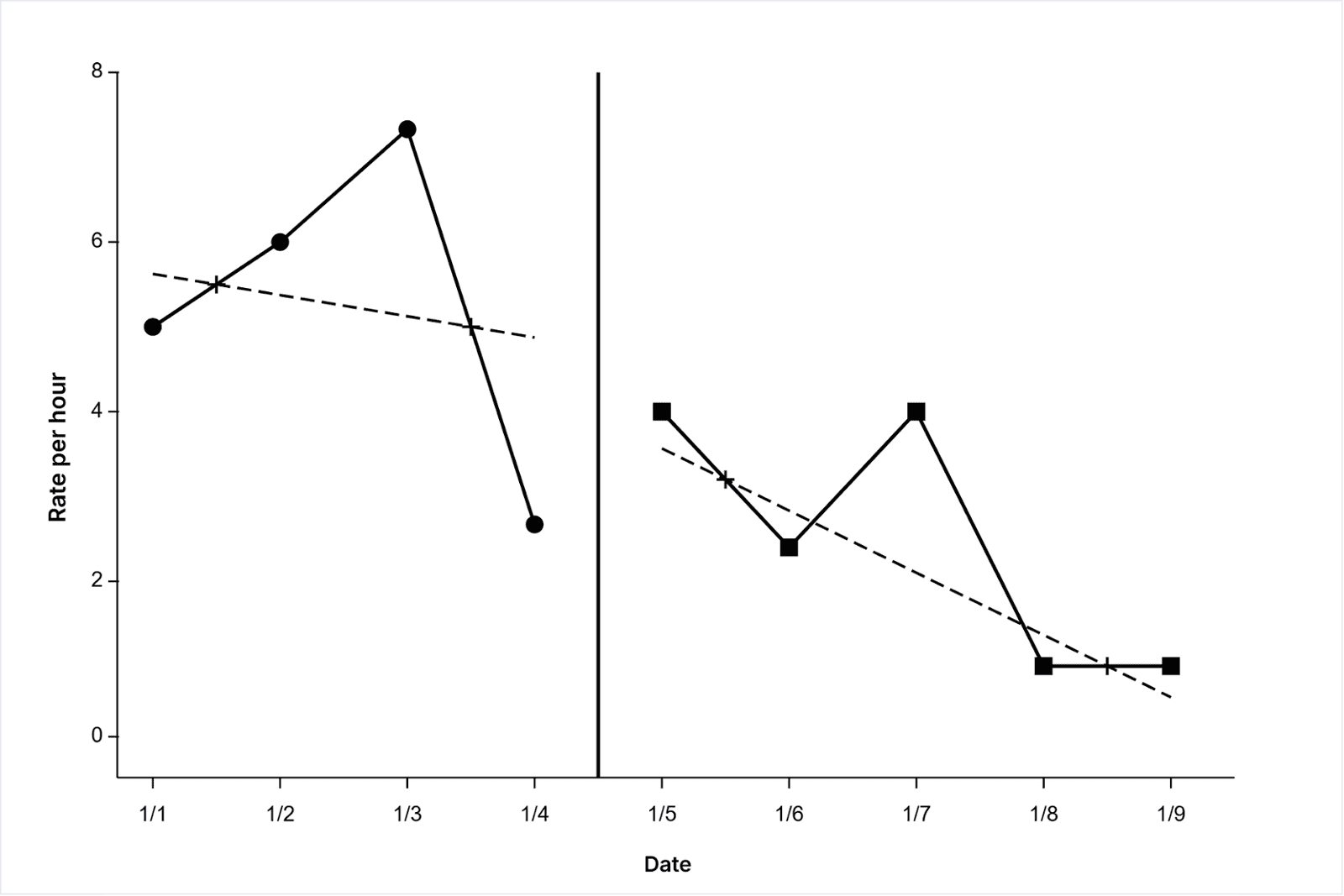
Designed and continuously updated by a practicing Board Certified Behavior Analyst, this software was built specifically for practitioners and students of Applied Behavior Analysis.
Its goal is simple: to create Excel-quality graphs without the limitations, complexity, and friction of Excel. No spreadsheets, no formulas, no cell management.
With an intuitive point-and-click interface, users can generate publication-ready ABA graphs quickly and accurately—so you can focus on analysis, not formatting.
Coming Soon






Product 2: ABA Graph Studio For iPhone and iPad
App Description Build professional ABA graphs directly from your iPhone or iPad. This app makes data visualization simple, intuitive, and fully customizable—so you can focus on analysis, not formatting. Designed for behavior analysts and educators, it delivers powerful graphing tools at an affordable price. Create clean, accurate, Excel-quality graphs anytime, anywhere.




Privacy Policies for ABA Graph Studio
ABA Graph Studio does not collect or store any user data.
All data entered into the application is stored locally and should be de-identified per HIPPA. Data is not shared with externa servers.
ABA Graph Studio does not require user accounts and does not track users.
If you choose to enter sensitive data into the app, it remains solely on your device and is your responsibility to manage appropriately.